主人简介
 天问地李
417
帖子
644
积分
0
粉丝
发短信 加关注
 空间
  • 总访问量:87774
  • 今日访问:84
  • 注册时间:2013/1/11
  • 上次登录:2021/6/2
日志分类 <全部>

  ※ 公益服务

归档
·2026年
·2025年
·2024年
·2023年
·2022年
·2021年
·2020年
·2019年
·2018年
·2017年
·2016年
·2015年
·2014年
·2013年
·2012年
·2011年
·2010年
·2009年
·2008年

日志 TOP10
日志
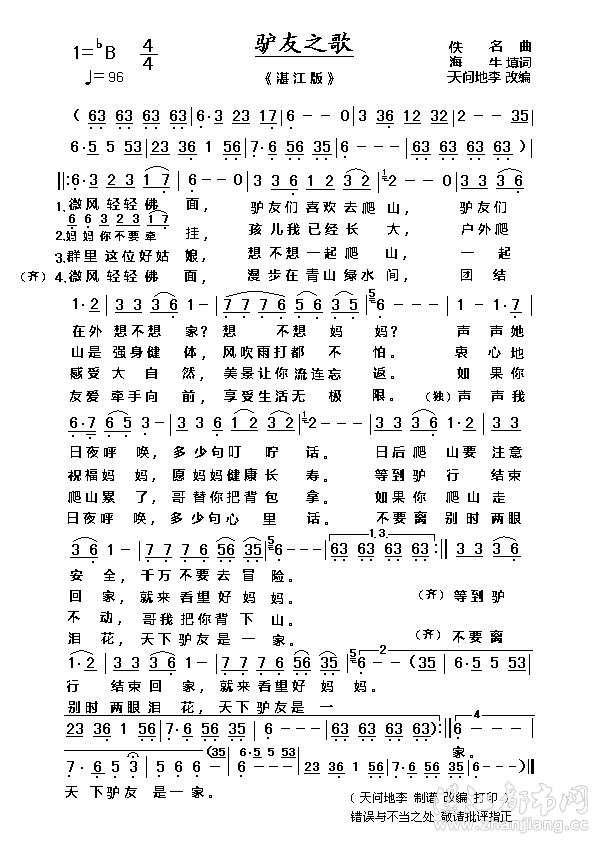
  • [2013-10-30]试为:海牛的《驴友之歌》(湛江版)制谱 [图]
    试为:海牛的《驴友之歌》(湛江版)制谱:   参考音乐作品: 《军中绿花》视频: http://v.youku.com/v_show/id_xmzc5otmwnjcy.html  
    阅读(4725)  回复(6)   查看全文>>
  • [2013-10-24]试为:李猛演唱的《驴友之歌》制作简谱 [图]
    试为:李猛演唱的《驴友之歌》制作简谱——   李猛:演唱《驴友之歌》——视频: 【土豆网】 http://www.tudou.com/programs/view/calbkamqeem/?tpa=dw5pb25fawq9mtaymjezxzewmdawml8wmv8wm/?***_id=100501_100500_01_01   【优酷网】 http://v.youku.com/v_show/id_xnji0ntg2mju2.html    
    阅读(4035)  回复(1)   查看全文>>
  • [2013-10-12]三岭山偶遇“解放军”四军种 [图]
          10月12日,游三岭山森林公园。偶遇“帮成科技”公司一群年青人在公园搞“活动”。即兴拍下部分他们活动镜头:四个小分队,四面“旗”——解放军、八路军、新四军、红军队;一条横额“帮成公司2013秋季户外拓展训练营”。通过照片,让大家来解读——他们到底是在干什么?          帮成(生物)科技——“最短时间,帮助最多的人成功”?
    阅读(7743)  回复(12)   查看全文>>